
ա․2a=5b+7a=a14b
բ․2x+3y+10x=12x+3y
գ․7a+b+b+2a=8a+b
դ․7a+b+3a+b=11a+b
ե․2x+y+3x+y+4x=9x+y
զ․a+2x+5x+2a+9x=16x+2a

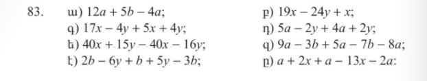
ա․12a+5b-4a=8a+5b
բ․19x-24y+x=19x+24y
գ․17x-4y+5x+4y=12x+8y
դ․5a-2y+4a+4y=a+8y
ե․40x+15y-4x-16y=36x+31y
զ․9a-3b+5a-7b-8a=1a+5a+10b
է․2b-6y+b+5y-3b=1y+5b
ը․a+2x+a-13x+2a=2a+15x

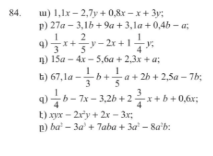
ա)1,1x-2,7y+0,8x-x+3y=0,9-5,7y
բ)27a-3,1b+9a+3,1a+0,4b-a=38,1a-3,5b
գ)1/3x+2/5y-2x+1.1/4=(-2.1/3x)+1.7/10y
դ)15a-4x-5,6a+2,3x+a=10,4a+6,3x
ե)67,1a-(1/3b)+1/5a+2b+2,5a-7b=69,8a-(-5.1/3b)
զ)1/4b-7x-3,2b+2.3/4x+b+0,6x=4,45b-10.35x
է)xyx-2x^2y+2x-3x=1x